全国免费热线:400-0576-899
首页
关于我们
新闻中心
产品中心
下载中心
信息反馈
联系我们
网站首页
关于我们
新闻中心
产品中心
轴流式风机系列
离心式风机系列
旋涡风机
管道风机
电动机
其他风机
联系我们
产品中心
轴流式风机系列
离心式风机系列
旋涡风机
管道风机
电动机
其他风机
首页 > 产品中心 > 轴流式风机系列
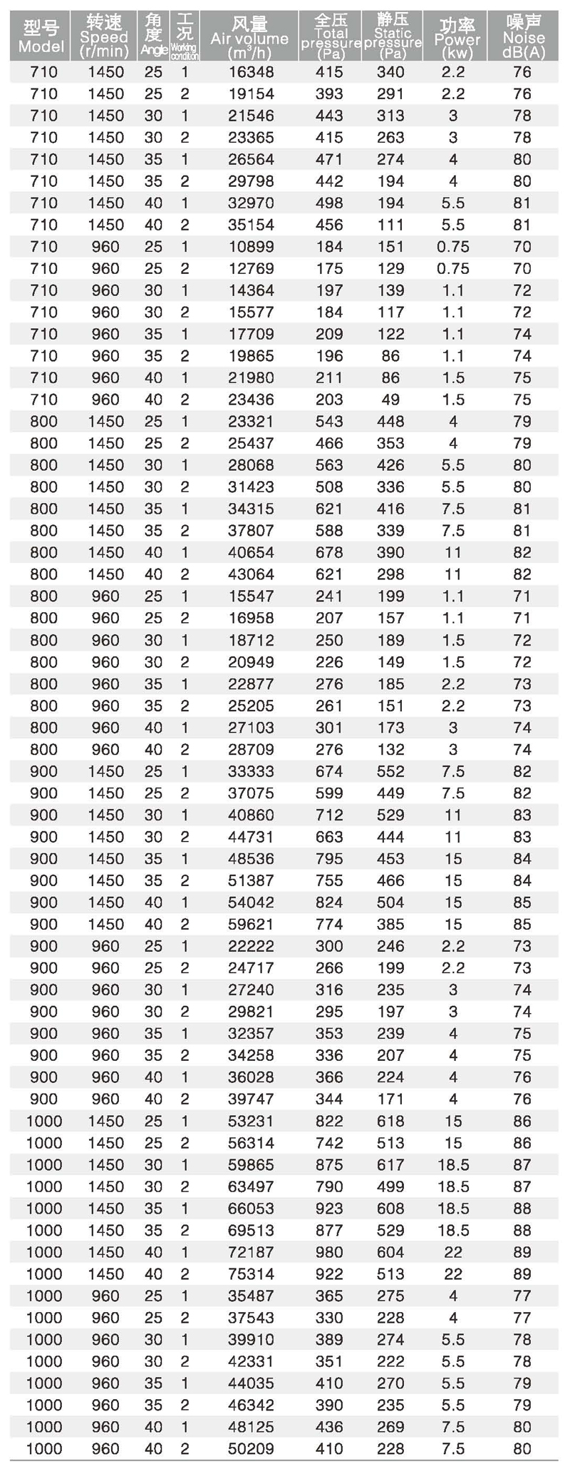
BYZ T35系列双向低噪声轴流通风机
发布时间:2018-02-25 15:04:47